Partypoker官网 - 领先的在线德州扑克平台 - Partypoker

快速发布求购 登录 注册
行业资讯行业财报市场标准研发新品会议盘点政策本站速递

上海光机所在提升硼掺杂金刚石的光电性能方面取得新进展

研发快讯 2026年02月09日 09:43:57来源:中国科学院上海光学精密机械研究所 1299
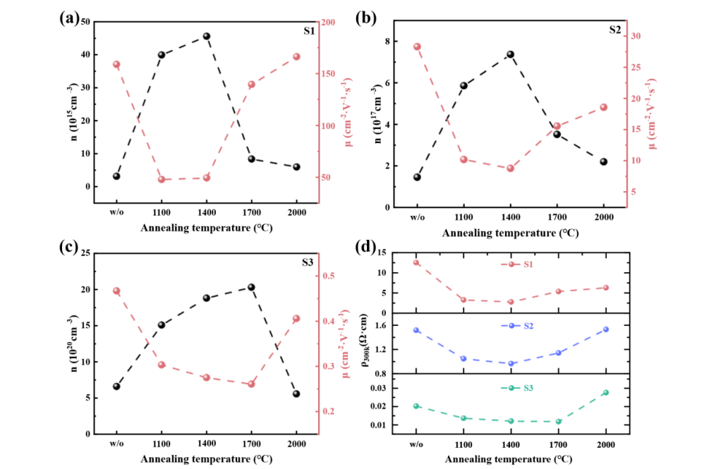
摘要研究团队通过微波等离子体化学气相沉积(MPCVD)生长了不同硼掺杂浓度的金刚石,在5 GPa压力、1100 – 2000 °C温度范围内进行高温高压退火,系统地研究了其光学和电学性能的变化。

  【仪表网 研发快讯】近期,中国科学院上海光学精密机械研究所先进激光与光电功能材料部激光晶体研究中心与南京大学电子科学与工程学院和浙江无限钻科技发展有限公司合作,在硼掺杂金刚石的光电性能提升研究方面取得新进展,相关研究成果以“Optical and electrical properties of CVD boron-doped diamond following HPHT annealing”为题发表于Diamond and Related Materials。
 
  硼掺杂金刚石(BDD)因其优异的性能,被视为极具潜力的半导体材料。然而,实现高效的p型导电性仍然具有挑战性,在低硼掺杂浓度下相对较深的受主能级会产生较低的激活效率,限制室温载流子浓度,而重掺杂会导致杂质散射和缺陷形成,从而降低迁移率。
 
  研究团队通过微波等离子体化学气相沉积(MPCVD)生长了不同硼掺杂浓度的金刚石,在5 GPa压力、1100 – 2000 °C温度范围内进行高温高压退火,系统地研究了其光学和电学性能的变化。实验结果显示,在适当的条件下,高温高压退火会使BDD载流子浓度增加一个数量级以上,电导率增加四倍以上,其效果强烈依赖于退火温度和掺杂浓度。综合光谱分析揭示了导致载流子退火温度依赖行为的几个因素,包括晶格应变弛豫、硼束缚激子的修饰和氮空位中心转变。此外,最佳退火温度随掺杂浓度显著变化。这些发现表明,高温高压处理是克服BDD中掺杂限制的一种可行方法,可以推进其在电子设备中的应用。
 
  相关工作得到国家自然科学基金的支持。
 
  图1 不同硼掺杂浓度的BDD样品室温电荷载流子浓度、迁移率和霍尔电阻率与退火温度的关系。
 
  图2 不同退火温度的BDD样品 (a) 213 nm激发的低温(10 K)光致发光光谱;(b) 532 nm激发的室温(300 K)光致发光光谱。

我要评论
文明上网,理性发言。(您还可以输入200个字符)

所有评论仅代表网友意见,与本站立场无关。

版权与免责声明
  • 凡本网注明"来源:仪表网"的所有作品,版权均属于仪表网,未经本网授权不得转载、摘编或利用其它方式使用上述作品。已经本网授权使用作品的,应在授权范围内使用,并注明"来源:仪表网"。违反上述声明者,本网将追究其相关法律责任。
  • 本网转载并注明自其它来源的作品,目的在于传递更多信息,并不代表本网赞同其观点或证实其内容的真实性,不承担此类作品侵权行为的直接责任及连带责任。其他媒体、网站或个人从本网转载时,必须保留本网注明的作品来源,并自负版权等法律责任。
  • 如涉及作品内容、版权等问题,请在作品发表之日起一周内与本网联系,否则视为放弃相关权利。
  • 合作、投稿、转载授权等相关事宜,请联系本网。联系电话:0571-87759945,QQ:1103027433。
广告招商
今日换一换
新发产品更多+

客服热线:0571-87759942

采购热线:0571-87759942

媒体合作:0571-87759945

  • 仪表站APP
  • 微信公众号
  • 仪表网小程序
  • 仪表网抖音号
Copyright ybzhan.cn    All Rights Reserved   法律顾问:浙江天册律师事务所 贾熙明律师   仪表网-仪器仪表行业“互联网+”服务平台
意见反馈
我知道了